Virtus Scholar Platform monthly statistics

The editorial team of Virtus Interpress would like to introduce the report on the main indicators of our Virtus Scholar Statistics Platform for October 2025. This platform provides the key statistical data of the papers published in our journals. We consider that the researches are to be shared freely in the scholarly sphere. It is an important factor for our authors with regard to the paper’s citation, views and readability, etc. Also, this will enable the theoretical results to be practically applied in corporate governance. Our Platform Statistics is a part of our open access policy.
We present the results of our analysis concerning the views and downloads of the papers published in our journals in the last month. The statistics is divided into 2 parts: Article Views Statistics (views data counts starting from March 2017) and Geographical Statistics (downloads data counts starting from August 2018).
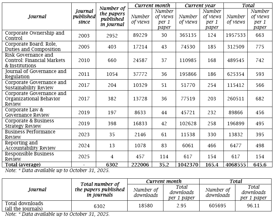
Firstly, according to the journal views, there is a positive dynamics. The total views of the papers published in our journals became:
- in the last month – 222006;
- in the current year – 1042370;
- for all the time – 4068555.
As a result of the calculations, the number of views per 1 paper is:
- in the last month – 35.2;
- in the current year – 165.4;
- for all the time – 645.6.
Thus, the total journal views for all the time rose by 54.94% for the last month, by 27.24% for the current year and by 5.8% for all the time, compared to the previous month. This indicates that the total views of the papers published in our journals are steadily increasing.
Secondly, according to the Platform Statistics, the total downloads of the papers published in our journals became:
- in the last month – 18580;
- for all the time – 605695.
As a result of the calculations, the number of downloads per 1 paper is:
- in the last month – 2.95;
- for all the time – 96.11.
It is important to note that geographically our journal papers have been downloaded to read by scholars from all continents. Last month, papers were downloaded from 143 countries and for all the time – from 203 countries.
Below are tables with calculating the indicators themselves, the number of views and downloads of papers published in our journals for October 2025:

Therefore, the results of the analysis display the positive dynamics of the journal views of papers published in our journals. The statistical data and our calculations confirmed it. All data based on the Platform Statistics and internal database.
We are going to keep our international scholarly network updated on the further changes in our Virtus Scholar Statistics Platform.















